Physics and Maths College Notes/Papers Gr 7 to 9, O, A level Cambridge

Pages

  • Blue Sky Physics
  • yjugessureducator@gmail.com | WhatsApp Emtel : 5933 4992
  • Home Page
  • CV Qualifications
  • WORK EXPERIENCE in State Colleges
  • Pay with Interest : List of INJURIES at WORK throughout my Career
  • Official MAIN Facebook Page
  • Photography Passion pg 3
  • Home: * Physics and Maths College Notes/Papers Cambridge

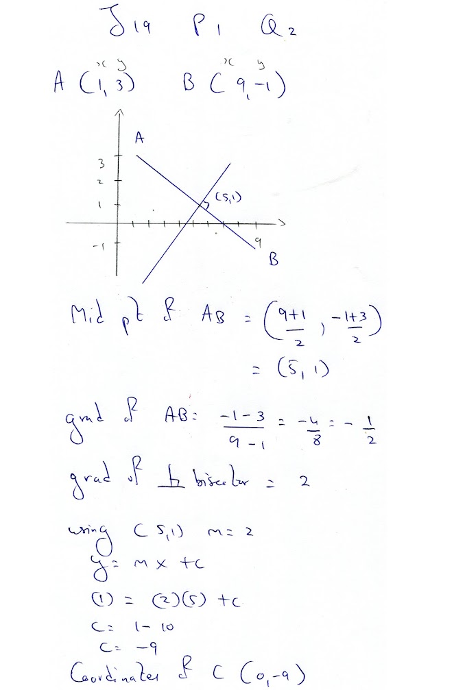
Maths A level May/ June 2019 P12, Q2

 



Newer Post Older Post Home
Theme images by follow777. Powered by Blogger.